Analisa Data Ketidakefektifan Bersihan Jalan Nafas
Berikut data lengkap tentang Analisa Data Ketidakefektifan Bersihan Jalan Nafas.
M dengan masalah utama ketidakefektifan bersihan jalan nafas pada sistem pernafasan asuhan keperawatan pada tn. Penulis mampu menyusun rencana asuhan keperawatan ang dengan ketidakefektifan bersihan jalan nafas pada pasien bronkitis.
Ketidakefektifan kebersihan jalan napas berhubungan dengan merokok dan sputum dalam jumlah yang berlebihan ditandai dengan.
Analisa data ketidakefektifan bersihan jalan nafas. Terdapat benda asing dijalan napas spasme jalan napas. Infeksi disfungsi neuromuskular hiperplasia dinding bronkus alergi jalan nafas asma trauma obstruksi jalan nafas. Penulis mampu merumuskan diagnosa keperawatan ang dengan ketidakefektifan bersihan jalan nafas pada pasien bronkitis.
Sputum dalam jumlah yang berlebihan. O ketidakefektifan bersihan jalan nafas b d asma ditandai dengan pasien sesak nafas ibu dan anak pasien mempunyai riwayat asma bunyi nafas melemah pasien tidak bisa batuk dan pasien merasa cemas. Pasien merasa bersihan jalan nafas sangat berat didada b.
Cek analisa gas darah setiap 10 30 mnt. Ketidakefektifan pola nafas berhubungan pemasangan yang tidak tepat peningkatan sekresi. M dengan masalah utama ketidakefektifan bersihan jalan nafas pada sistem pernafasan di instalasi gawat darurat di rs pku muhammadiyah gombong.
Spasmae jalan nafas sekresi tertahan banyak mukus adanya jalan nafas buatan sekresi bronkus adanya eksudat di alveolus adanya benda asing di jalan nafas. Data etiologi masalah keperawatan 1. Daftar diagnosa keperawatan nanda noc dan nic hermanbagus.
Ketidakefektifan pola nafas berhubungandengan kelelahan pengesetan ventilator yang tidak tepat obstruksi selang ett 4. 1ketidak efektifan bersihan jalan nafas berhubungan dengan peningkatan produksi sekret 2. Bersihan jalan nafas tidak efektif.
2 monitor hasil analisa gas darah atau oksimetri selama pemasangan ett. Gangguan pertukaran gas berhubungan dengan sekresi tertahan proses penyakit 3. Merokok menghisap asap rokok perokok pasif.
Ketidakefektifan bersihan jalan nafas pada pasien bronkitis. Gangguan bersihan jalan nafas berhubungan dengan peningkatan produk mukosa akibat adanya benda asing pada trachea. Bersihan jalan nafas tidak efektif berhubungan dengan.
O ketidakefektifan pola nafas b d nyeri ditandai dengan pasien merasa nyeri dengan skala 5 dispnea dan pernafasan cuping hidung. Laporan pendahuluan ketidakefektifan bersihan jalan nafas definisi ketidakmampuan untuk membersihkan secret atau obstruksi saluran napas guna mempertahankan jalan napas yang bersih factor yang berubungan. Alergen hawa dingin ketidakefektifan a.
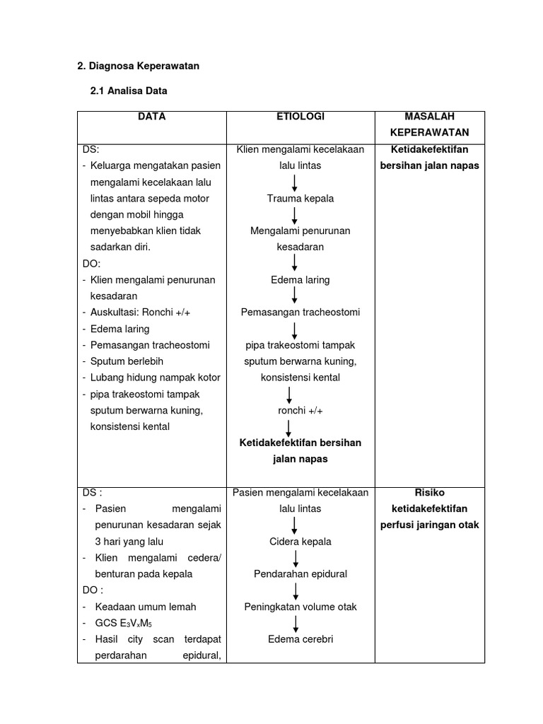
Berikut yang dapat admin bagikan terkait analisa data ketidakefektifan bersihan jalan nafas. Admin blog Berbagi Data Penting 2019 juga mengumpulkan gambar-gambar lainnya terkait analisa data ketidakefektifan bersihan jalan nafas dibawah ini.
Itulah gambar-gambar yang dapat kami kumpulkan mengenai analisa data ketidakefektifan bersihan jalan nafas. Terima kasih telah mengunjungi blog Berbagi Data Penting 2019.





Comments
Post a Comment