Data Subjektif Dan Objektif Resiko Infeksi

Kumpulan lengkap Data Subjektif Dan Objektif Resiko Infeksi.

Tugas Kdk Nadi Articles News Stories

Asuhan Kebidanan Ibu Hamil Fisiologis Pada Nyl Di Pmb

Analisis Data Abses Mandibula

Prosiding Dies Natalis 57 Fakultas Kedokteran Gigi

Analisa Data Kasus

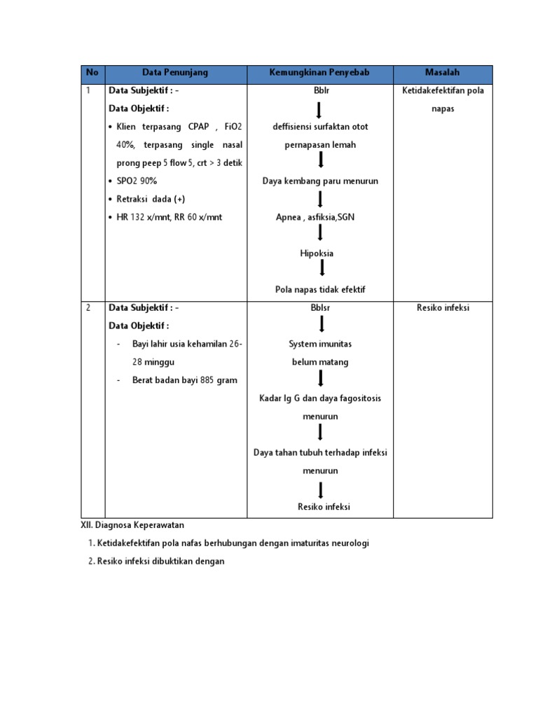
Pathway Dan Analisa Data

Karya Tulis Ilmiah Asuhan Keperawatan Pada Tn S Dengan

Untitled

Analisa Data

Asuhan Kebidanan Komprehensif Pada Nys G4p3a0 38 Minggu

Inilah yang dapat admin infokan terkait data subjektif dan objektif resiko infeksi. Admin Berbagi Data Penting 2019 juga mengumpulkan gambar-gambar lainnya terkait data subjektif dan objektif resiko infeksi dibawah ini.

1 Bab I Pendahuluan A Latar Belakang Masalah Kebutuhan

Doc Askep Otitis Media Data Fokus Data Subjektif Data

Perpustakaanunsacid Digilibunsacid Commit To User

Asuhan Kebidanan Ibu Hamil Fisiologis Pada Nyl Di Pmb

Asuhan Keperawatan Infeksi

Asuhan Keperawatan Otitis Eksterna Ppt Download

Analisa Data Askep Malaria

Dengan Diagnosa Medis Trombositopenia Di Ruangan Anggrek

Karya Tulis Ilmiah Studi Kasus Pada Ny M F Dengan Post

Bab Iiiikhsan Baru

Askep Abses Otak

Asuhan Keperawatan Pada Ny M Dengan Prioritas Masalah

Ppt Asuhan Keperawatan Dengan Infeksi Powerpoint

Sekian gambar-gambar yang dapat kami bagikan mengenai data subjektif dan objektif resiko infeksi. Terima kasih telah mengunjungi blog Berbagi Data Penting 2019.


Comments

Popular posts from this blog

Data Profil Kesehatan Indonesia Tahun 2014

Cookie Run Retrieving Data From Line

Membuat Aplikasi Data Karyawan Dengan Excel

The Boot Configuration Data For Your Pc Is Missing Or Contains Errors Boot Bcd