Dari Data Tersebut Dapat Disimpulkan Bahwa

Inilah yang anda cari tentang Dari Data Tersebut Dapat Disimpulkan Bahwa.

Kumpulan Soal Soal Sifat Koligatif Larutan Dunia Biologi

Berdasarkan Data Tersebutdapat Disimpulkan Bahwa Tolong

Untitled

Analisis Efektivitas Sistem Pelayanan Ktp Sistem Informasi

Kecondonganskewness Suatu Kurva Uptaweb

Untitled

Apakah Kita Bisa Memprediksi Hasil Battle Royale Dalam

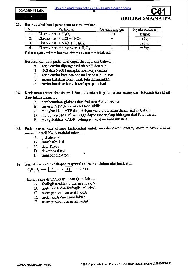
Hal 1 30kumpulan Arsip Soal Un Biologi Sma Tahun 2009 2012

Apakah Kita Bisa Memprediksi Hasil Battle Royale Dalam

Index Of Assetsmedia170613

Inilah yang dapat admin infokan terkait dari data tersebut dapat disimpulkan bahwa. Admin Berbagi Data Penting 2019 juga mengumpulkan gambar-gambar lainnya terkait dari data tersebut dapat disimpulkan bahwa dibawah ini.

Pdf Rancang Bangun Aplikasi Untuk Memprediksi Status Gizi

Politeknik Negeri Sriwijaya 8 Bab Ii Tinjauan Pustaka Bab Ii

Berdasarkan Data Tersebut Diatas Maka Dapat Disimpulkan

Penggunaan Media Kartu Bilangan Untuk Meningkatkan Kemampuan

Dari Data Tersebut Dapat Disimpulkan Bahwa Faktor Luar Yang

Dari Data Dari Tabel Tersebut Dapat Disimpulkan Bahwa A

Doc Kumpulan Soal Sejarah 130309083637 Phpapp01 Cwiek

Untitled

Soal Un Sma Soal Ujian Sekolah Laman 21

The Influences Of Metacognition On Mathematic Learning

Untitled

Perancangan Sistem Pakar Medis Untuk Kasus Dermatomikosis

Marsekal Tni Purn Chappy Hakim Tidak Pernah Terjadi

Sekian gambar-gambar yang dapat kami bagikan mengenai dari data tersebut dapat disimpulkan bahwa. Terima kasih telah mengunjungi blog Berbagi Data Penting 2019.


Comments

Popular posts from this blog

Mencari Data Diri Orang Lewat Internet

The Boot Configuration Data For Your Pc Is Missing Or Contains Errors Boot Bcd

Perusahaan Data Center Terbesar Di Indonesia

Data Recovery Recuva Software Free Download